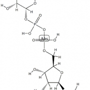
UDP-beta-L-Ara.2Na CAS 15839-78-8(331001-44-6)
英文名
UDP-beta-L-Ara.2Na
别名
Uridine 5-disphospho-beta-L-arabinose disodium salt
中文名
UDP-阿拉伯糖
化学式
C14H20N2Na2O16P2
分子量
580.24
CAS号(或者Watson编号)
15839-78-8(331001-44-6)
EINECS号
纯度标准
Sales Outside China
Outside China, this product is sold through Watson International Limited (Ltd), and please click the link below for details. (https://www.watson-int.com/), and here is the corresponding link https://www.watson-int.com/UDP-beta-L-Ara.2Na-cas-15839-78-8(331001-44-6)/



