Mouse CD155/PVR Protein, Accession: Q8K094
- 产品概述
- 产品规格
- 运输及存储
- 品牌声明
产品概述
产品描述
Recombinant Mouse CD155/PVR Protein is expressed from HEK293 with His tag at the C-terminal.It contains Asp29-Leu348.
Biotinylated
产品规格
靶点
CD155/PVR
分子别名
CD155; HVED; NECL5; Necl-5; nectin-like 5; PVR; PVS; Tage4; PVSFLJ25946; FLJ25946
Accession
种属
Mouse
蛋白序列
Asp29-Leu348
分子量
The protein has a predicted MW of 35.9 kDa. Due to glycosylation, the protein migrates to 55-75 kDa based on Tris-Bis PAGE result.
活性
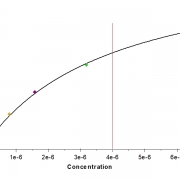
Immobilized Mouse CD155, His Tag at 0.5ug/ml (100ul/Well) on the plate. Dose response curve for Mouse TIGIT, hFc Tag with the EC50 of 0.23ug/ml determined by ELISA (QC Test). The affinity constant of 4.00 uM as determined in SPR assay (Biacore T200). See testing image for detail.
产品标签
C-His
表达系统
HEK293
纯度
> 95% as determined by Tris-Bis PAGE;> 95% as determined by HPLC
内毒素
Less than 1EU per ug by the LAL method.
运输及存储
产品外观
Lyophilized
运输条件
Shipped at ambient temperature.
制剂
Lyophilized from 0.22um filtered solution in PBS (pH 7.4). Normally 8% trehalose is added as protectant before lyophilization.
复溶
Centrifuge tubes before opening. Reconstituting to a concentration more than 100 ug/ml is recommended. Dissolve the lyophilized protein in distilled water.
存储和稳定性
Reconstituted protein stable at -80°C for 12 months, 4°C for 1 week. Use a manual defrost freezer and avoid repeated freeze-thaw cycles.
品牌声明
该产品的品牌ChemWhat是Watson的注册商标,由Watson授权江苏hth华体育app官网登录在中国大陆地区使用,点此访问ChemWhat官网。



