ManNAz CAS 361154-23-6(1971934-97-0)
英文名
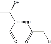
ManNAz
别名
2-[(Azidoacety)amino]-2-deoxy-D-mannose
中文名
化学式
C8H14N4O6
分子量
262.22
CAS号(或者Watson编号)
361154-23-6(1971934-97-0)
EINECS号
纯度标准
Sales Outside China
Outside China, this product is sold through Watson International Limited (Ltd), and please click the link below for details. (https://www.watson-int.com/), and here is the corresponding link https://www.watson-int.com/ManNAz-cas-361154-23-6(1971934-97-0)/



