
核糖核酸hth华体育app官网登录 A CAS 9001-99-4
基本信息
物理性质
安全信息
详细规格和其他相关信息
Sales…

CA3(CIL56) CAS号 300802-28-2
基本信息
物理性质
安全信息
详细规格和其他相关信息
Sales…

甲基-Α-D-吡喃鼠李糖苷 CAS号 14917-55-6
基本信息物理性质安全信息详细规格和其他相关信息Sales…

乳糖酸钾 CAS号 69313-67-3
基本信息物理性质安全信息详细规格和其他相关信息Sales…

乳糖酸钠 CAS号 27297-39-8
基本信息物理性质安全信息详细规格和其他相关信息Sales…

Glucosylsphingosine CAS 52050-17-6
Glucosylsphingosine,52050-17-6,2-Amino-3-hydroxy-4-octadecenyl b-D-glucopyranoside; (2S,3R,4E)-2-Amino-3-hydroxy-4-octadecenyl b-D-glucopyranoside,

C18 Lactosyl-beta-Ceramide CAS 125712-73-4
C18 Lactosyl-beta-Ceramide,125712-73-4,b-LacCer,

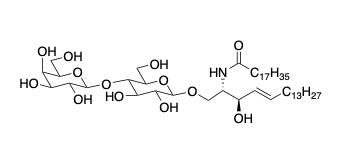
Galb1,3GalNAcb1,3Gala1,4Galb1,4Glc Ceramide CAS WUNA-0016
Galb1,3GalNAcb1,3Gala1,4Galb1,4Glc Ceramide,WUNA-0016,Gb5Cer,

Galb1,3GalNAcb1,3Gala1,3Galb1,4Glc Ceramide CAS WUNA-0017
Galb1,3GalNAcb1,3Gala1,3Galb1,4Glc Ceramide,WUNA-0017,iGb5Cer,

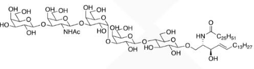
Fuca1,2Galb1,3GalNAcb1,3Gala1, 4Galb1,4Glc Ceramide CAS WUNA-0018
Fuca1,2Galb1,3GalNAcb1,3Gala1, 4Galb1,4Glc Ceramide,WUNA-0018,FucGb5Cer,
