
Mouse uPAR/PLAUR isoform 1 Protein, Accession: P35456
Mouse uPAR/PLAUR isoform 1 Protein,P35456,Leu24-Gly298

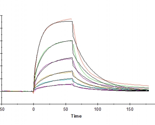
Human CDCP1 (30-368) Protein, Accession: Q9H5V8
Human CDCP1 (30-368) Protein,Q9H5V8,Phe30-Arg368

Biotinylated Human IL-12 Protein, Accession: P29460
Biotinylated Human IL-12 Protein,P29460,Ile23-Ser328(IL-12B)/Arg23-Ser219(IL-12A)

Human HGF R/c-MET Protein, Accession: P08581
Human HGF R/c-MET Protein,P08581,Glu25-Thr932

Human IL-9 Protein, Accession: P15248
Human IL-9 Protein,P15248,Gln19-Ile144

Human MSR1 Protein, Accession: P21757
Human MSR1 Protein,P21757,Lys77-Leu451

Monkeypox virus L1R Protein, Accession: QJQ40228
Monkeypox virus L1R Protein,QJQ40228,Met1-Lys152

Human Serum Albumin Protein, Accession: P02768
Human Serum Albumin Protein,P02768,Asp25-Leu609

Human GM-CSF Protein, Accession: P04141
Human GM-CSF Protein,P04141,Ala18-Glu144

Human TNFRSF12A/TWEAKR Protein, Accession: Q9NP84
Human TNFRSF12A/TWEAKR Protein,Q9NP84,Glu28-Per80
